

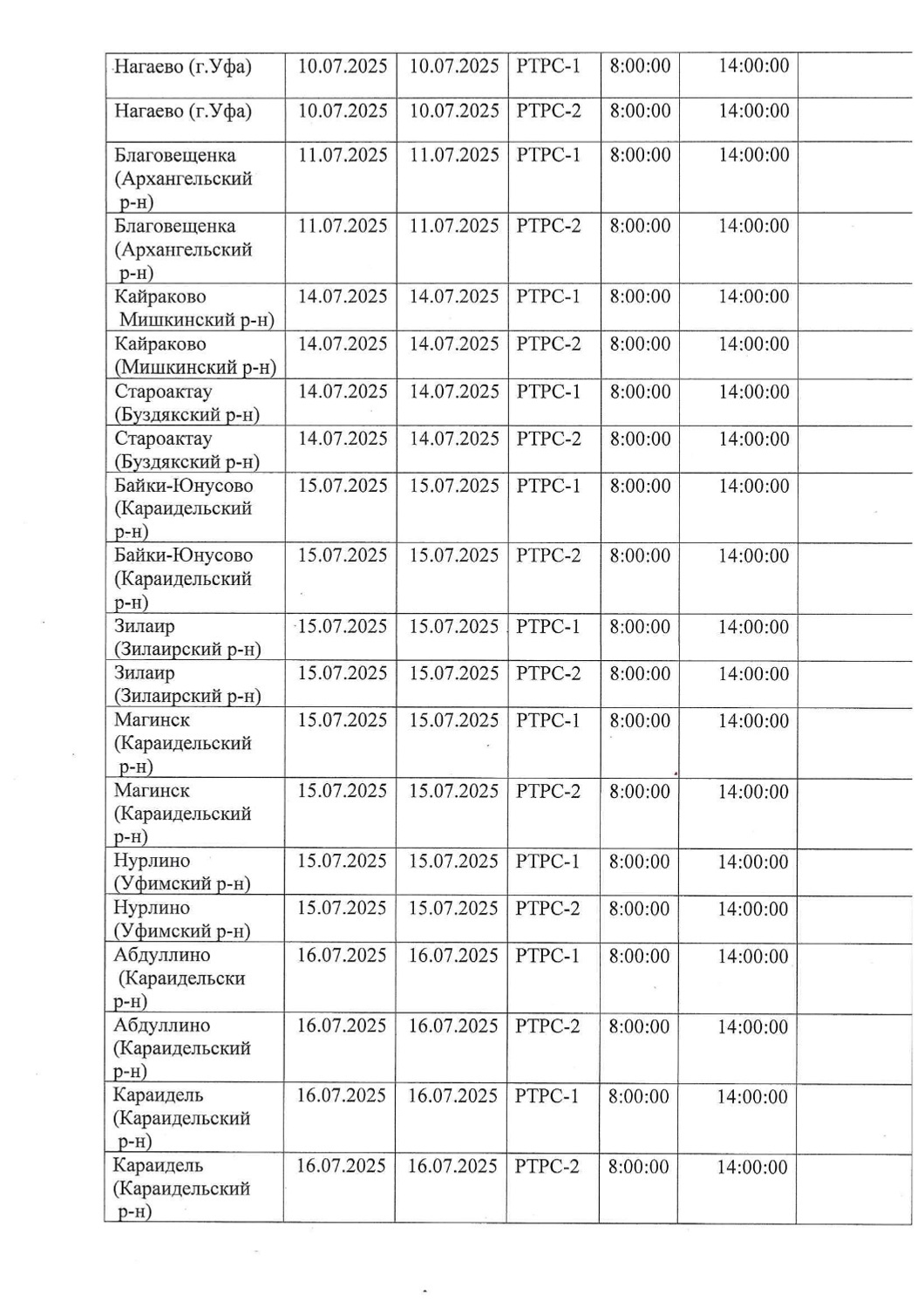
С 7 по 31 июля жители Башкирии временно не смогут смотреть телеканалы первого и второго мультиплексов (РТРС-1 и РТРС-2), сообщает "Республика Башкортостан". По информации пресс-службы Российской телевизионной и радиовещательной сети, это связано с проведением профилактических работ.
В каждом населённом пункте отключение продлится от шести до девяти часов. С графиком отключения можно ознакомиться ниже.